Trumps märkliga uträkning – för att få fram tullarna
Trump verkar ha frångått sitt ursprungliga löfte om att tullsatser och handelshinder skulle matcha andra länders. Beräkningen på de nya tullarna är främst baserade på befintliga handelsbalanser, skriver Bloomberg.

På onsdagskvällen, efter att Donald Trump meddelat de nya tullarna, publicerade Vita huset sin uträkning för hur de kommit fram till de nya tullsatserna.
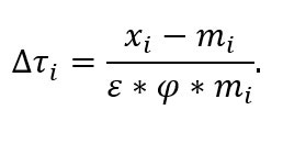
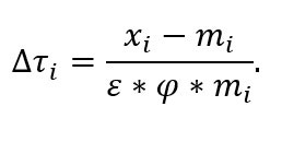
Formeln delar ett lands handelsöverskott med USA, med landets totala export, baserat på data från US Census Bureau för 2024. Därefter delades talet med två, vilket gav den "rabatterade" satsen, uppger USA:s handelsrepresentant.
Om man tar Kina som exempel så hade de ett handelsöverskott på 295 miljarder dollar gentemot USA förra året med totalt 438 miljarder i export. Det innebär en kvot på 68 procent. Delat med två, enligt Trumps formel, så ger detta en tullsats på 34 procent.
Även länder där USA har ett handelsöverskott drabbades och fick en fast sats på 10 procent.
"Metoden når målet"
USA:s handelsrepresentant skriver i uttalandet, som inte var undertecknat, att det är möjligt men komplext att beräkna på tiotusentals tullar.
De säger att metoden och den använda nuvarande beräkningen uppnår Trumps mål att minska handelsunderskottet.
Metoden för beräkningen har skapat förvirring eftersom att vissa satser som Trump presenterade på presskonferensen skilde sig med någon procentenhet gentemot vad som fanns i bilagan med presidentens verkställande order.
Formeln som användes var inte samma som den Vita huset initialt hade signalerat skulle användas i beräkningarna. Då nämndes inte ordet "handelsbalans" men Trump skrev då att icke-ömsesidig handel är "en källa till vårt lands stora och årliga handelsunderskott i varor."

Följ taggar



